728x90
반응형
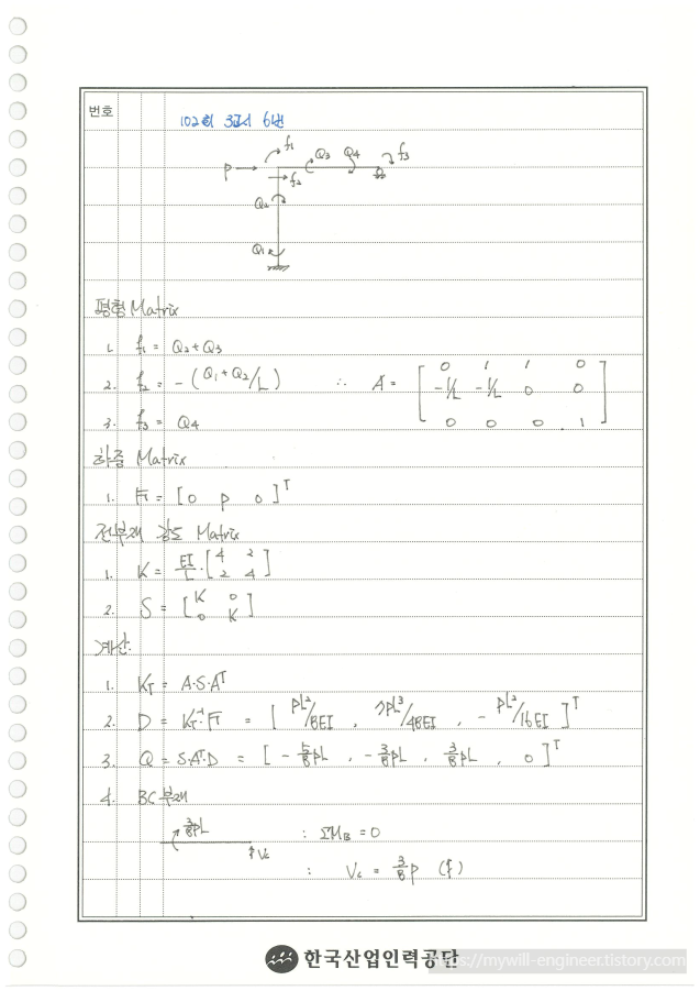
< 건축구조기술사 102회 3교시 6번 >
1. 카테고리 : 부정정구조물
2. 부정정구조물에 대한 해석을 요하는 문제입니다.
3. 하위 문제에서 묻는 모든 것들을 한번에 해결할 수 있는 매트릭스 변위법을 사용하여 풀이했습니다.
4. 개인풀이
728x90
반응형
'■ 건축구조기술사 ■ > 01 구조역학' 카테고리의 다른 글
(부정정구조) 건축구조기술사 121회 3교시 6번 (0) | 2023.03.10 |
---|---|
(부정정구조) 건축구조기술사 107회 2교시 4번 (0) | 2023.03.09 |
(부정정구조) 건축구조기술사 98회 4교시 4번 (0) | 2023.03.07 |
(부정정구조) 건축구조기술사 97회 2교시 3번 (0) | 2023.03.06 |
(부정정구조) 건축구조기술사 102회 2교시 4번 (0) | 2023.03.06 |