728x90
반응형
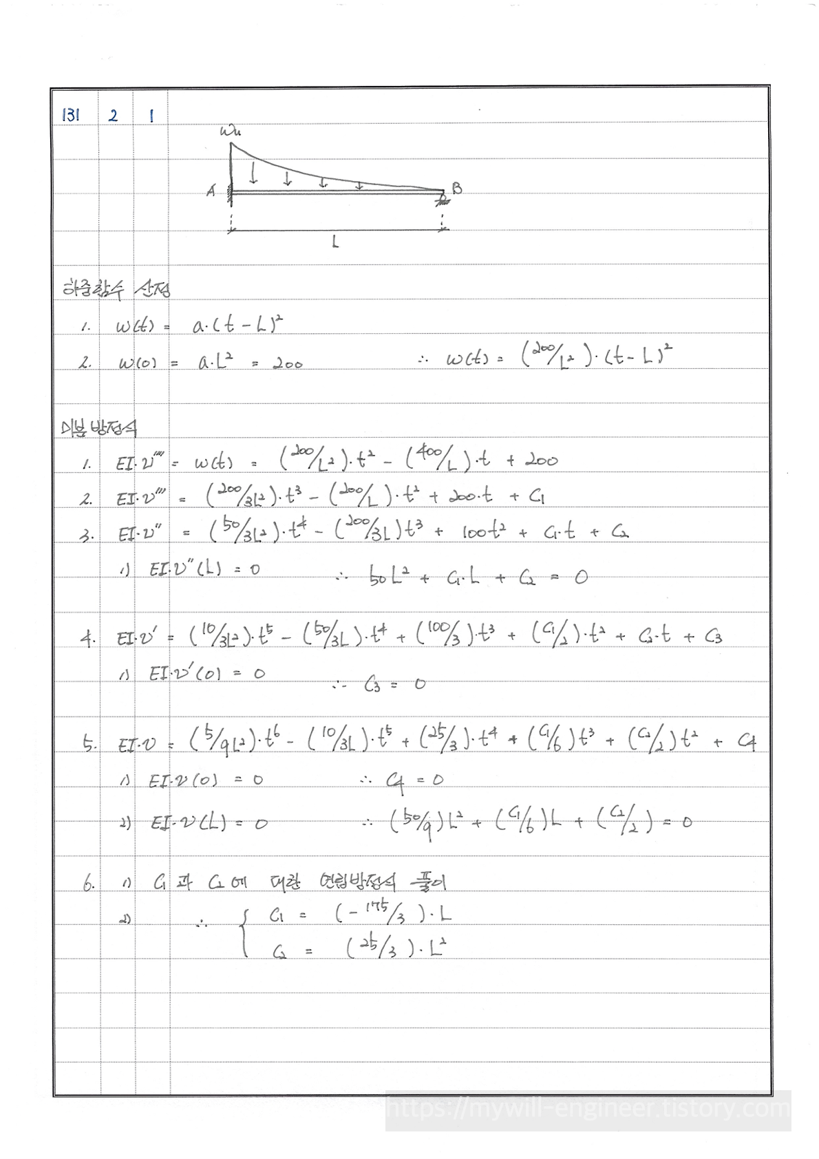
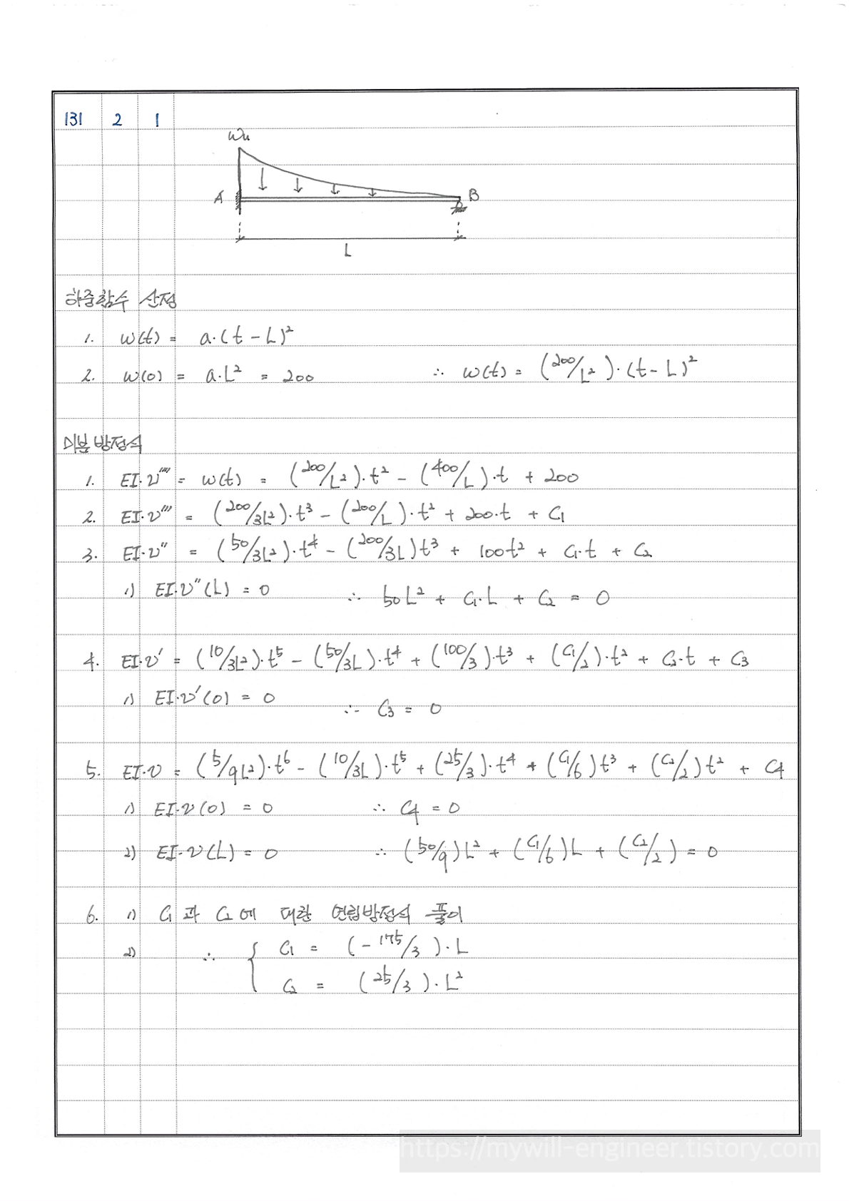
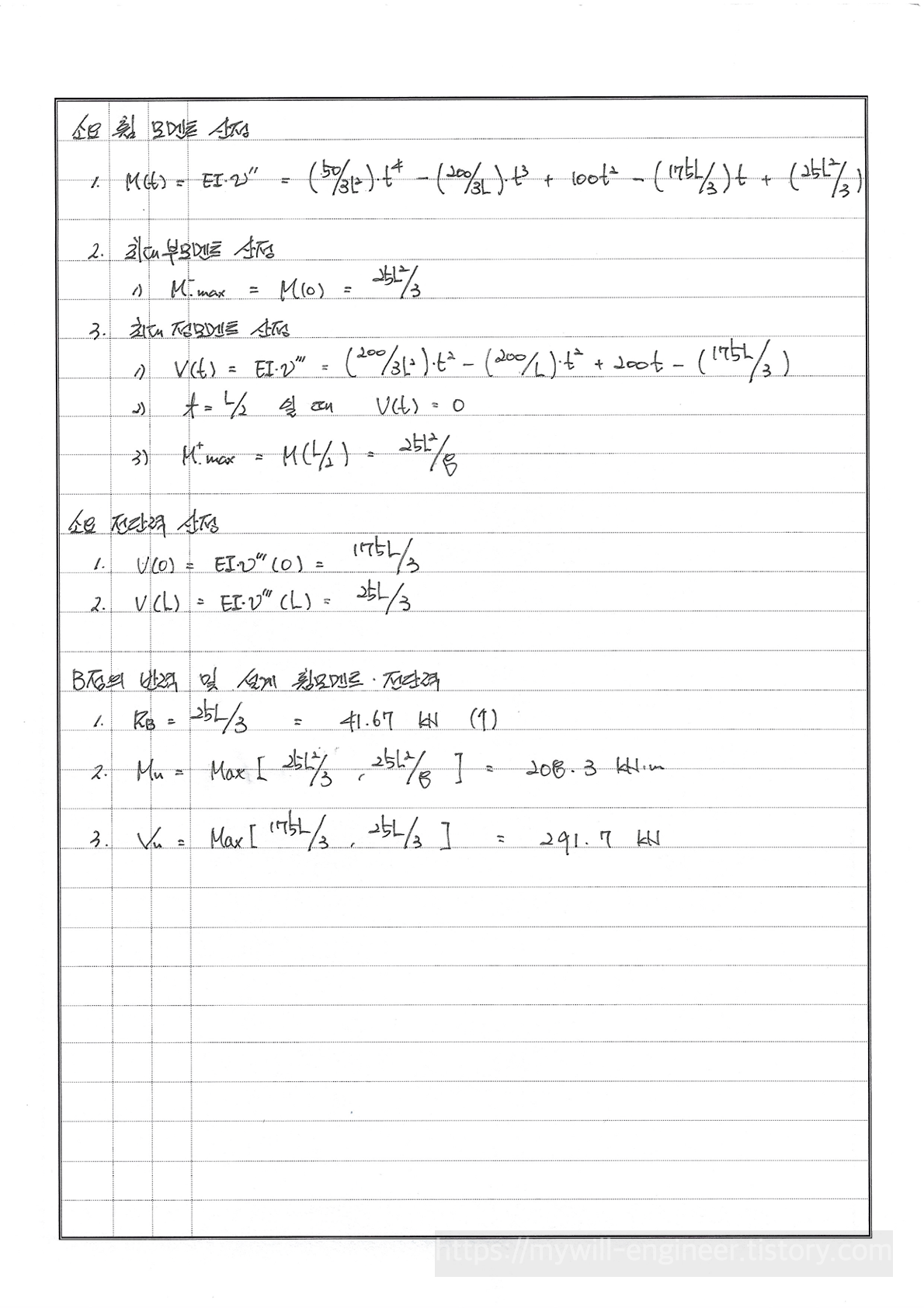
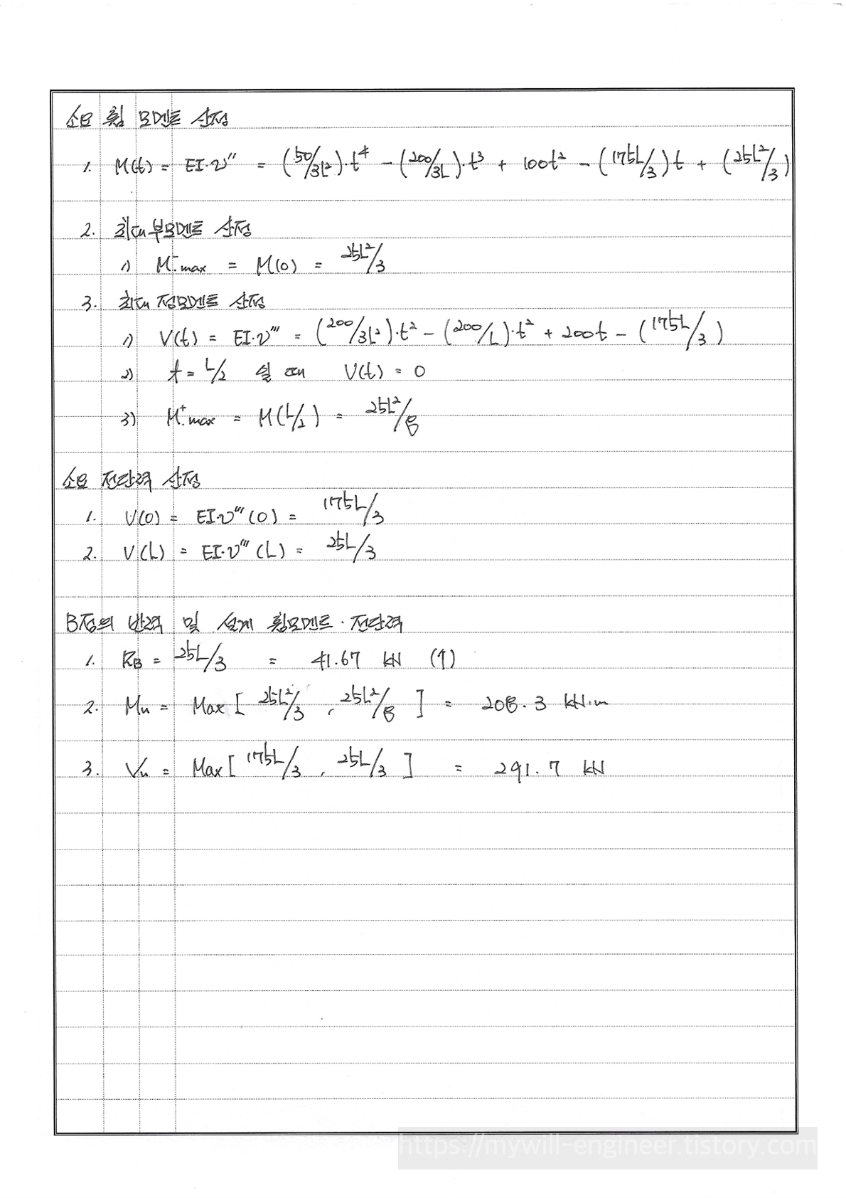
< 건축구조기술사 131회 2교시 1번 >

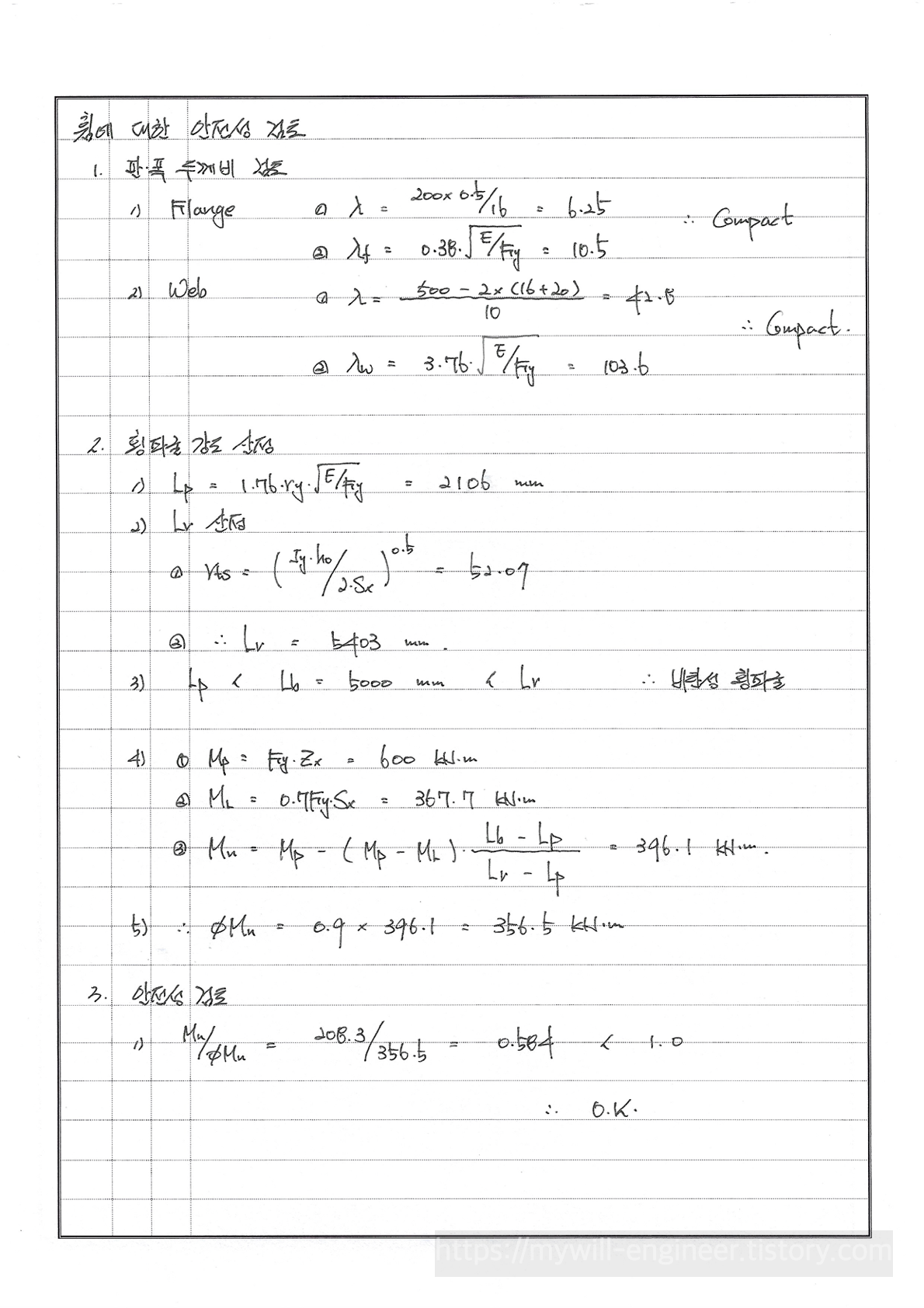
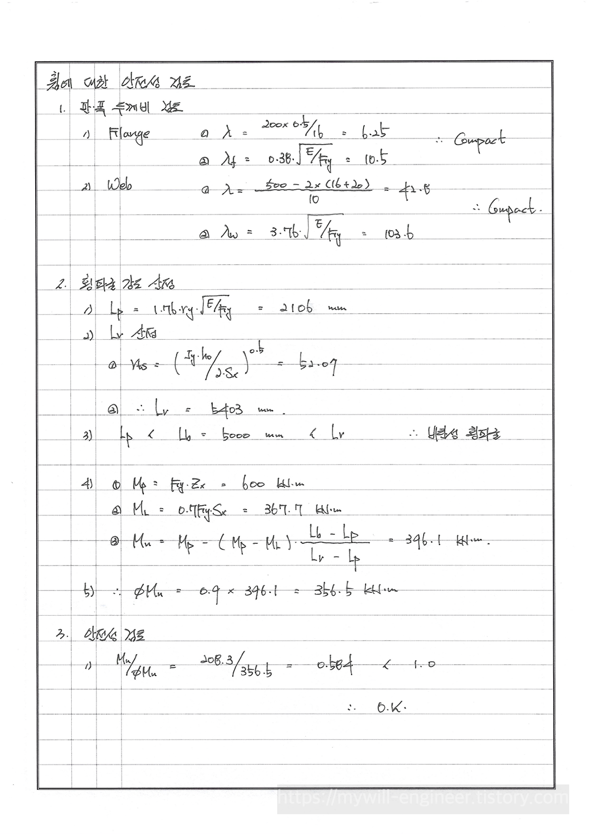
1. 카테고리 : 휨재설계
2. 2교시 1번부터 "고생 좀 해봐라" 라는 문제입니다.
3. 미분방정식의 이해를 바탕으로 주어진 구조물을 먼저 해석해야 합니다.
4. 해석된 값을 바탕으로 주어진 철골보의 휨과 전단에 대해 안전성 검토를 수행합니다.
5. 개인풀이




728x90
반응형
'■ 건축구조기술사 ■ > 03 철골구조' 카테고리의 다른 글
| (압축재) 건축구조기술사 105회 4교시 1번 (0) | 2023.09.30 |
|---|---|
| (압축재) 건축구조기술사 105회 2교시 4번 (0) | 2023.09.15 |
| (압축재) 건축구조기술사 104회 3교시 5번 (0) | 2023.08.22 |
| (압축재) 건축구조기술사 100회 2교시 6번 (0) | 2023.08.17 |
| (압축재) 건축구조기술사 97회 2교시 2번 (0) | 2023.08.10 |