728x90
반응형

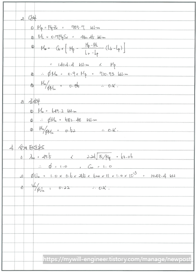
1. 카테고리 : 휨재
2. 주어진 단면에 대한 해석과 그에 따른 부재의 휨, 전단강도를 요하는 문제입니다.
3. 개인풀이



728x90
반응형
'■ 건축구조기술사 ■ > 03 철골구조' 카테고리의 다른 글
| (휨재) 건축구조기술사 100회 4교시 5번 (0) | 2023.10.28 |
|---|---|
| (휨재) 건축구조기술사 97회 2교시 4번 (0) | 2023.10.28 |
| (인장재) 건축구조기술사 131회 2교시 5번 (0) | 2023.10.16 |
| (압축재) 건축구조기술사 116회 3교시 3번 (0) | 2023.10.10 |
| (압축재) 건축구조기술사 113회 3교시 1번 (0) | 2023.10.04 |