728x90
반응형
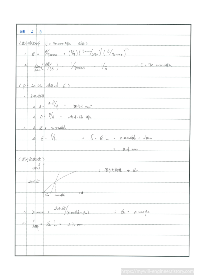
< 건축구조기술사 108회 2교시 3번 >
- 카테고리 : 정정구조물
- 응력-변형률 곡선에 대한 이해와 1축방향 변형에 대한 이해를 묻고 있는 문제입니다.
- 개인풀이
728x90
반응형
'■ 건축구조기술사 ■ > 01 구조역학' 카테고리의 다른 글
(정정구조물) 건축구조기술사 100회 2교시 1번 (0) | 2023.01.15 |
---|---|
(정정구조물) 건축구조기술사 102회 4교시 6번 (0) | 2023.01.15 |
(정정구조물) 건축구조기술사 112회 4교시 4번 (0) | 2023.01.12 |
(정정구조물) 건축구조기술사 115회 4교시 6번 (0) | 2023.01.09 |
(정정구조물) 건축구조기술사 116회 2교시 4번 (0) | 2023.01.09 |