728x90
반응형
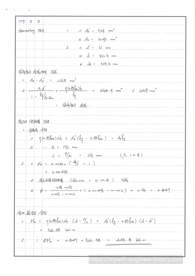
< 건축구조기술사 109회 3교시 3번 >
1. 카테고리 : 보
2. 복철근 보의 설계휨강도를 산정하는 기본 문제입니다.
3. 개인풀이
728x90
반응형
'■ 건축구조기술사 ■ > 02 철근콘크리트구조' 카테고리의 다른 글
(보) 건축구조기술사 124회 3교시 2번 (0) | 2023.02.03 |
---|---|
(보) 건축구조기술사 106회 3교시 3번 (0) | 2023.02.01 |
(보) 건축구조기술사 103회 2교시 4번 (1) | 2023.01.28 |
(보) 건축구조기술사 112회 2교시 4번 (0) | 2023.01.27 |
(보) 건축구조기술사 104회 3교시 3번 (0) | 2023.01.19 |