728x90
반응형
< 건축구조기술사 100회 3교시 1번 >
1. 카테고리 : 부정정구조물
2. 휨재와 축방향 부재가 결합한 구조물로 대표적인 유형입니다.
3. 부정정 차수를 구하고(이 문제는 1차 부정정) 부정정력을 정의한 후 구할 수 있어야 합니다.
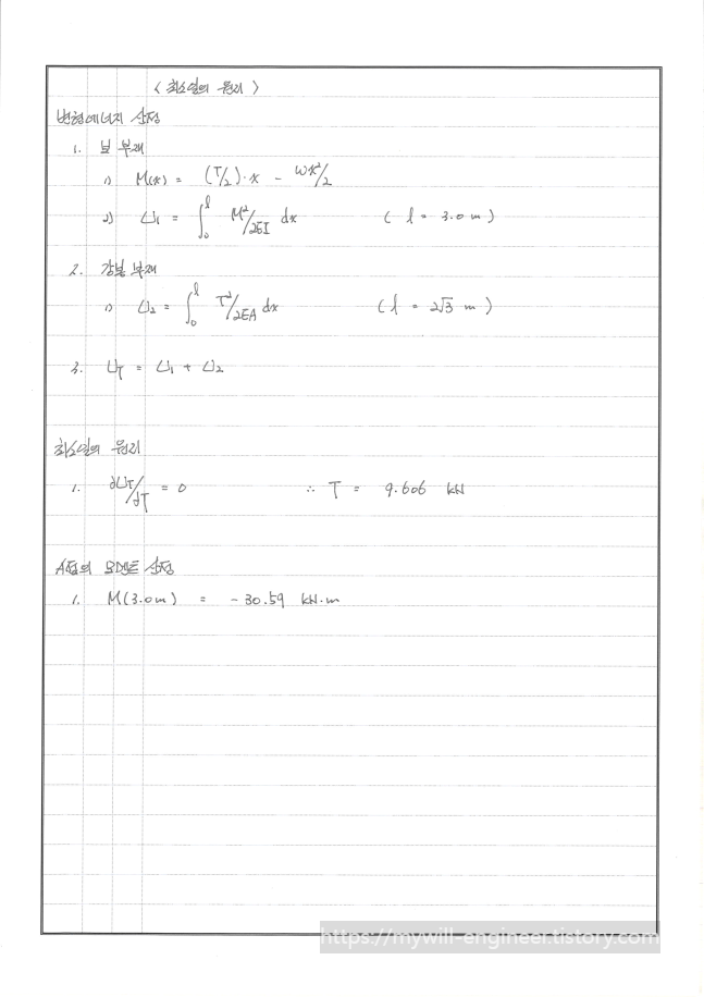
4. 일반적으로 1차 부정정 구조물은 "최소일의 원리"를 사용하면 매우 쉽게 구할 수 있습니다만, 공부를 할 때에는 그 외의 방법으로도 풀이가 가능해야 합니다.
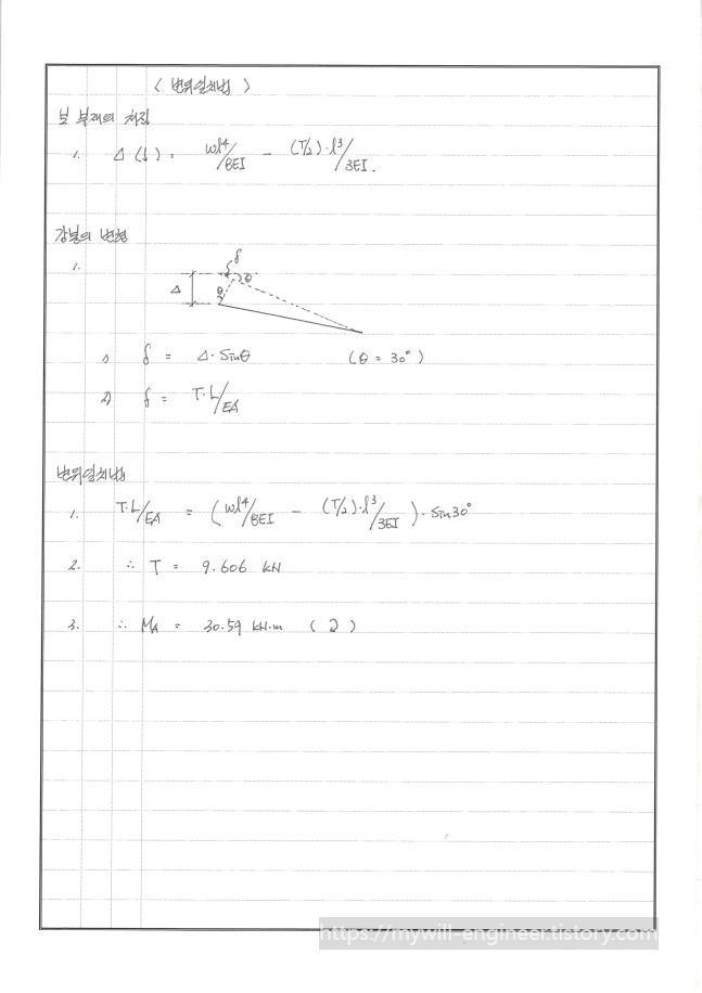
5. 최소일의 원리와 변위일치법 2가지 방법으로 풀었습니다.
6. 개인풀이
728x90
반응형
'■ 건축구조기술사 ■ > 01 구조역학' 카테고리의 다른 글
(부정정구조) 건축구조기술사 128회 2교시 2번 (0) | 2023.02.08 |
---|---|
(부정정구조) 건축구조기술사 127회 2교시 1번 (0) | 2023.02.07 |
(케이블) 건축구조기술사 112회 3교시 1번 (0) | 2023.02.03 |
(케이블) 건축구조기술사 117회 2교시 1번 (0) | 2023.02.02 |
(정정구조물) 건축구조기술사 109회 2교시 2번 (0) | 2023.01.27 |