728x90
반응형
< 건축구조기술사 115회 2교시 1번 >
1. 카테고리 : 기둥
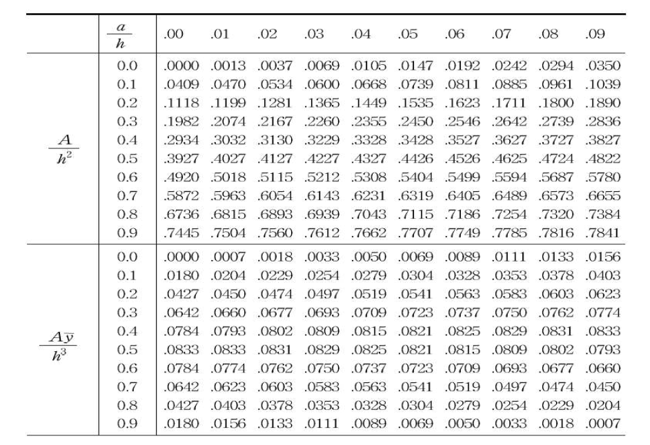
2. 원형단면에 대한 기둥해석을 묻는 문제로 주어진 표에 대한 이해가 필요합니다.
3. 각 철근 열별로 압축/인장을 구분하고 그에 따른 Force를 산정할 수 있어야 합니다.
4. 개인풀이
728x90
반응형
'■ 건축구조기술사 ■ > 02 철근콘크리트구조' 카테고리의 다른 글
(보) 건축구조기술사 118회 4교시 3번 (0) | 2023.02.16 |
---|---|
(사용성) 건축구조기술사 124회 4교시 6번 (0) | 2023.02.15 |
(기둥) 건축구조기술사 114회 4교시 6번 (0) | 2023.02.10 |
(기둥) 건축구조기술사 126회 2교시 4번 (0) | 2023.02.10 |
(기둥) 건축구조기술사 125회 4교시 2번 (0) | 2023.02.10 |