728x90
반응형
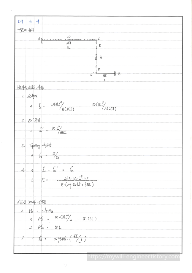
< 건축구조기술사 127회 3교시 4번 >
1. 카테고리 : 부정정구조물
2. 101회 4교시 1번과 비슷한 유형의 문제입니다.(풀이보러가기 ☞클릭!) 변위일치법으로 풀이했습니다.
3. 개인풀이
728x90
반응형
'■ 건축구조기술사 ■ > 01 구조역학' 카테고리의 다른 글
(부정정구조) 건축구조기술사 128회 2교시 5번 (0) | 2023.02.16 |
---|---|
(처짐) 건축구조기술사 109회 3교시 2번 (0) | 2023.02.15 |
(부정정구조) 건축구조기술사 106회 4교시 1번 (0) | 2023.02.13 |
(부정정구조) 건축구조기술사 118회 3교시 1번 (0) | 2023.02.10 |
(처짐) 건축구조기술사 106회 4교시 4번 (0) | 2023.02.09 |