728x90
반응형
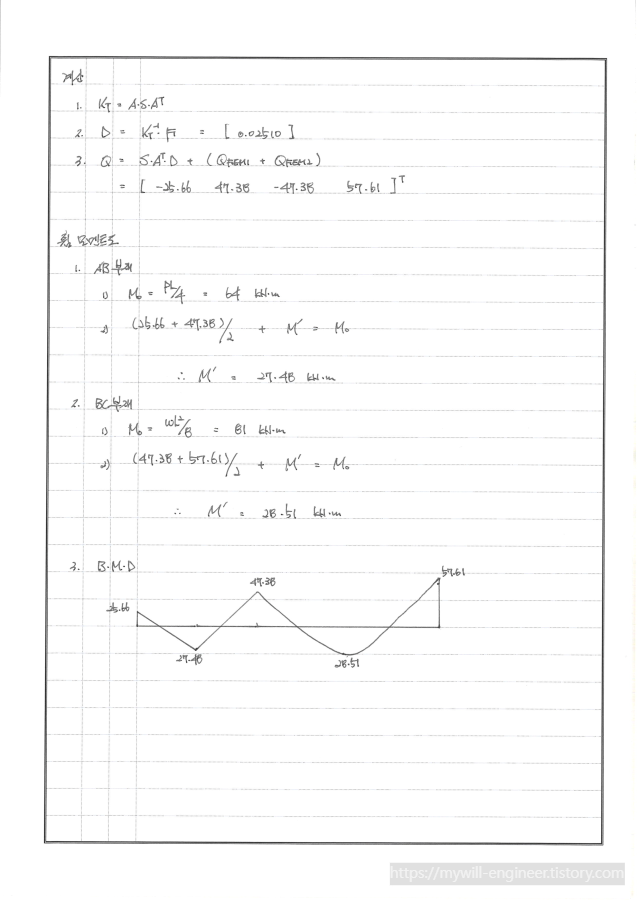
< 건축구조기술사 104회 4교시 1번 >
1. 카테고리 : 부정정구조물
2. 매트릭스법으로 풀이를 요구하는 문제입니다. 지점침하가 추가되는 문제는 좀 생소할 수 있습니다.
3. 지점침하에 의한 효과는 결국 모멘트가 발생한다는 것으로 고려하고, 침하에 의한 부가 발생 모멘트를 구할 수 있다면 그리 어렵지 않은 문제입니다.
4. 고정률에 따른 모멘트 변화를 이해하면 단부 모멘트 뿐만 아니라 내부의 정모멘트도 쉽게 구할 수 있습니다.
5. 개인풀이
728x90
반응형
'■ 건축구조기술사 ■ > 01 구조역학' 카테고리의 다른 글
(부정정구조) 건축구조기술사 115회 3교시 6번 (0) | 2023.02.21 |
---|---|
(부정정구조) 건축구조기술사 124회 3교시 4번 (0) | 2023.02.21 |
(부정정구조) 건축구조기술사 125회 2교시 2번 (0) | 2023.02.19 |
(부정정구조) 건축구조기술사 128회 1교시 3번 (0) | 2023.02.18 |
(부정정구조) 건축구조기술사 128회 2교시 5번 (0) | 2023.02.16 |