728x90
반응형
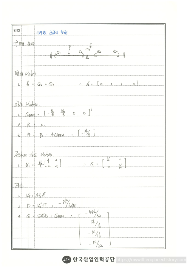
< 건축구조기술사 107회 3교시 5번 >
1. 카테고리 : 부정정구조물
2. 강성매트릭스법을 묻는 가장 기본적인 문제입니다. 기본 개념을 정리하기에 좋은 문제이며, 절점의 자유도 수가 적고 부정정 차수가 높은 문제일 수록 매트릭스법을 적용하는게 좋을 듯 합니다.
3. 개인풀이
728x90
반응형
'■ 건축구조기술사 ■ > 01 구조역학' 카테고리의 다른 글
(부정정구조) 건축구조기술사 102회 2교시 4번 (0) | 2023.03.06 |
---|---|
(부정정구조) 건축구조기술사 112회 4교시 1번 (0) | 2023.03.03 |
(부정정구조) 건축구조기술사 114회 4교시 3번 (0) | 2023.02.24 |
(부정정구조) 건축구조기술사 107회 4교시 3번 (0) | 2023.02.22 |
(부정정구조) 건축구조기술사 120회 3교시 1번 (0) | 2023.02.21 |